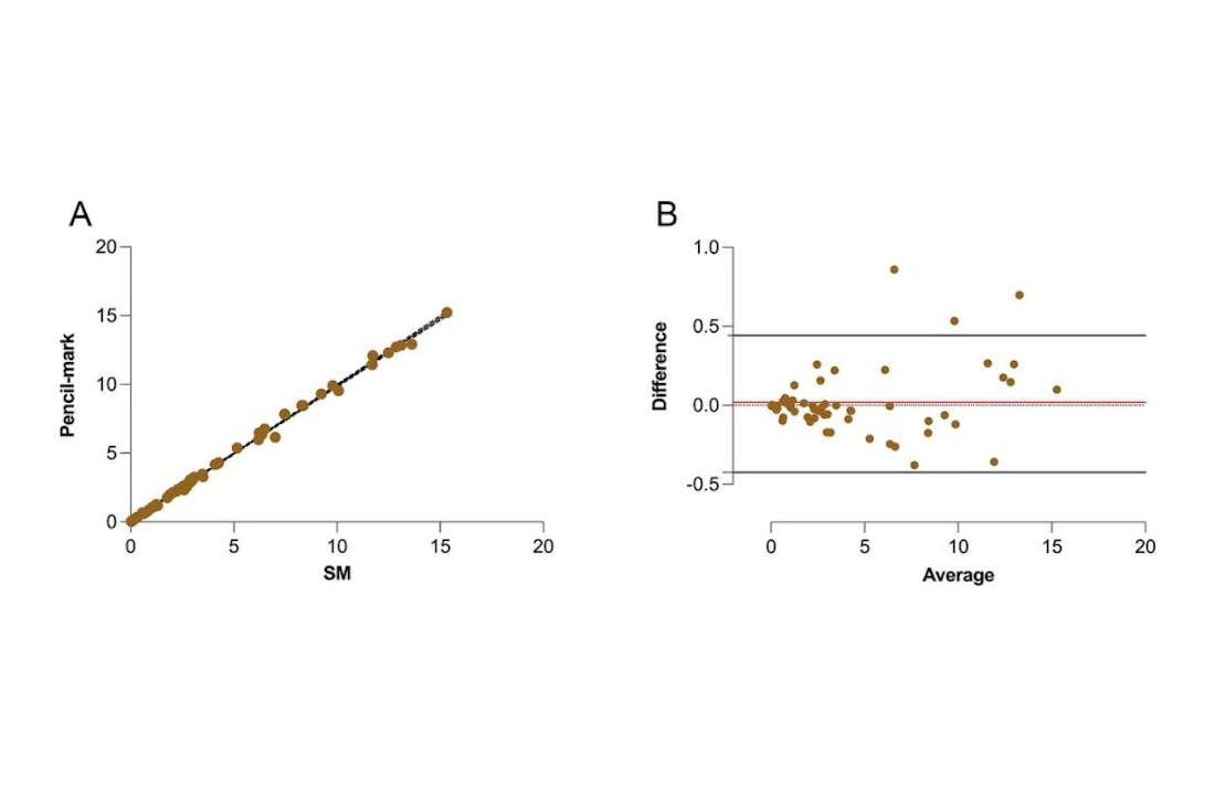
Using the calibration marker mode in imitoMeasure on an iPad and refining the wound border with an Apple Pencil is the most suitable way to measure a wound digitally. That's what Italian researchers found when comparing several methods to measure 50 wounds in dogs.
The authors Tambella et al. note that non-contact measurement can be especially helpful in veterinary care, because microbial contamination of the wound and pain are avoided. As animal patients can sometimes be uncooperative and may not allow for contact measurements.





