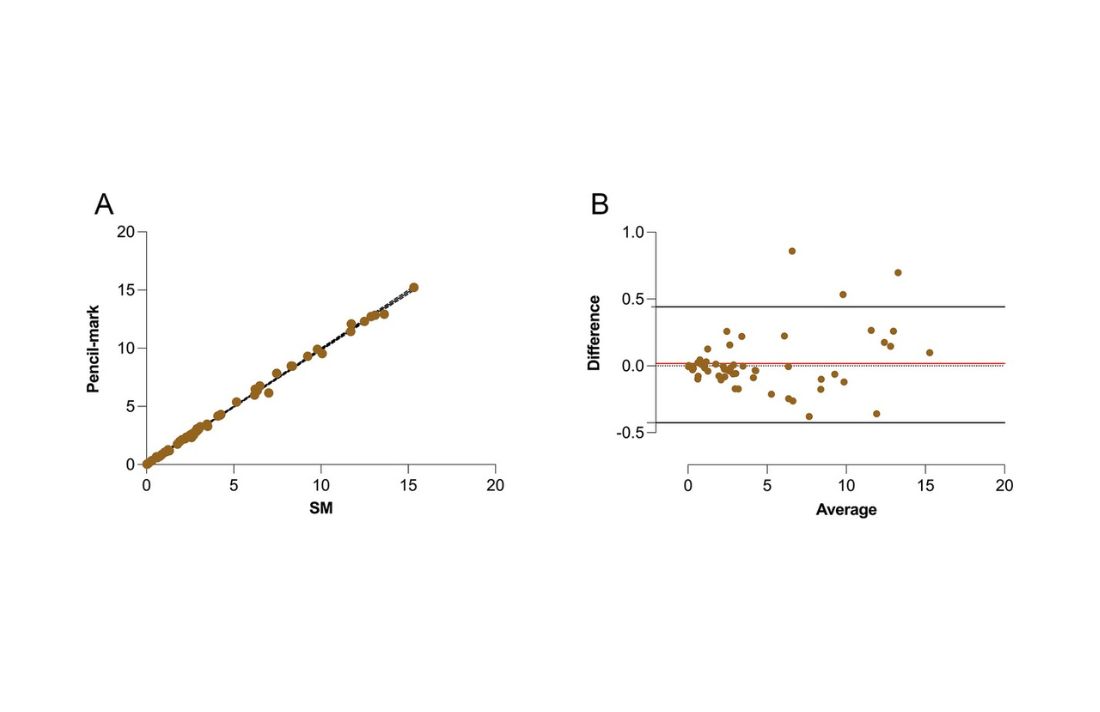
Les plaies de 12 chiens de diffĂ©rents Ăąges, races et sexes ont Ă©tĂ© mesurĂ©es Ă l'aide de la mĂ©thode de traçage manuel (papier acĂ©tate) et de l'application imitoMeasure. La mĂ©thode de mesure des plaies sur smartphone proposĂ©e par imito sâest rĂ©vĂ©lĂ©e valide et fiable par rapport Ă la mĂ©thode traditionnelle.
Shehasina et al. soulignent que la mesure prĂ©cise des plaies est essentielle tant dans le cadre des soins de plaies aiguĂ«s que chroniques. Cela joue un rĂŽle clĂ© dans lâĂ©valuation de lâefficacitĂ© des traitements, la prĂ©vision des rĂ©sultats et le suivi de la progression de la guĂ©rison au fil du temps.





